본문바로가기

송림체육관송림체육관

1번이미지

2번이미지

전체메뉴

체육시설
문화시설
공원시설
생활시설

전체메뉴 닫기

메뉴


공지사항

알림마당
  1. HOME
  2. 알림마당
  3. 공지사항

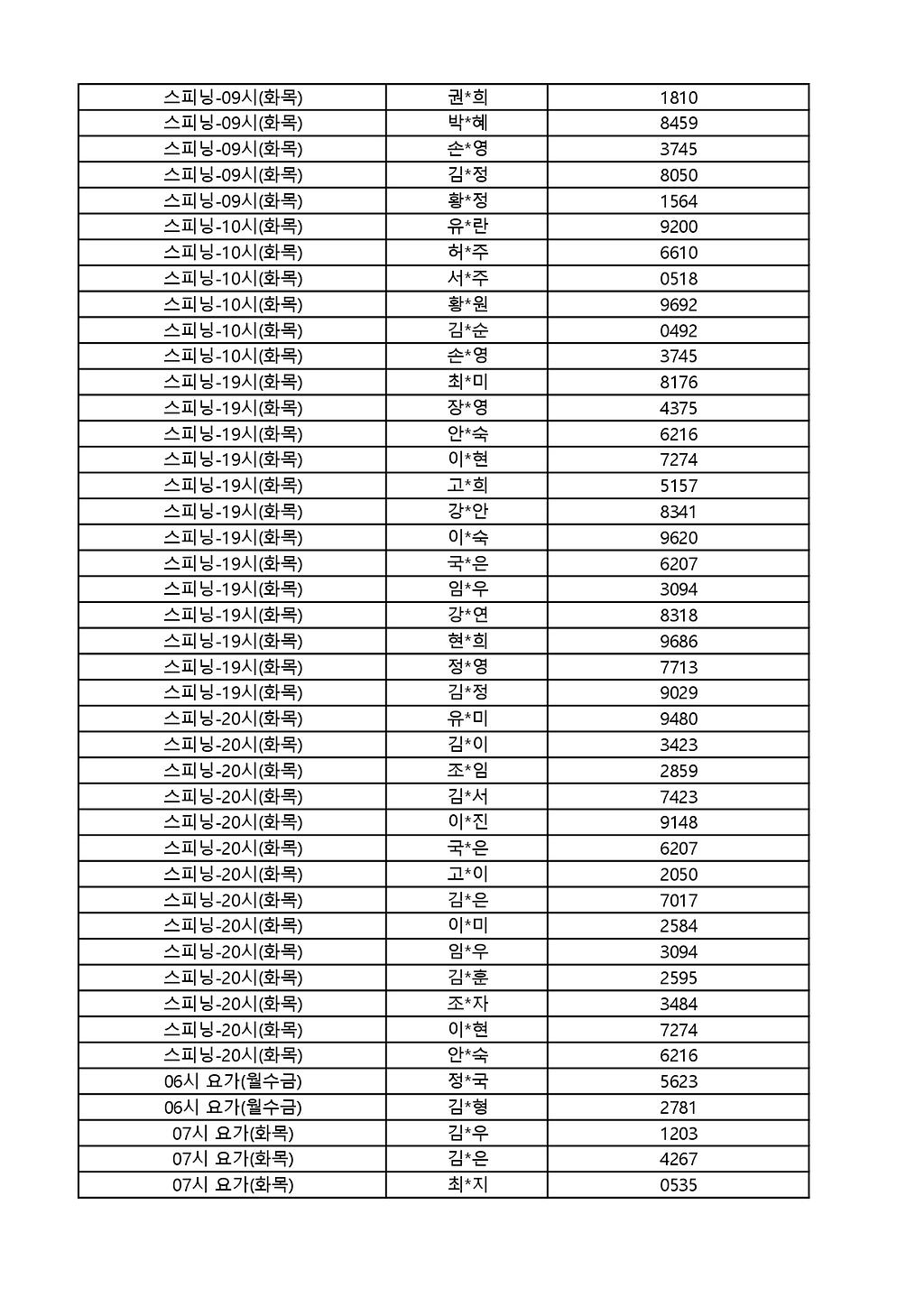
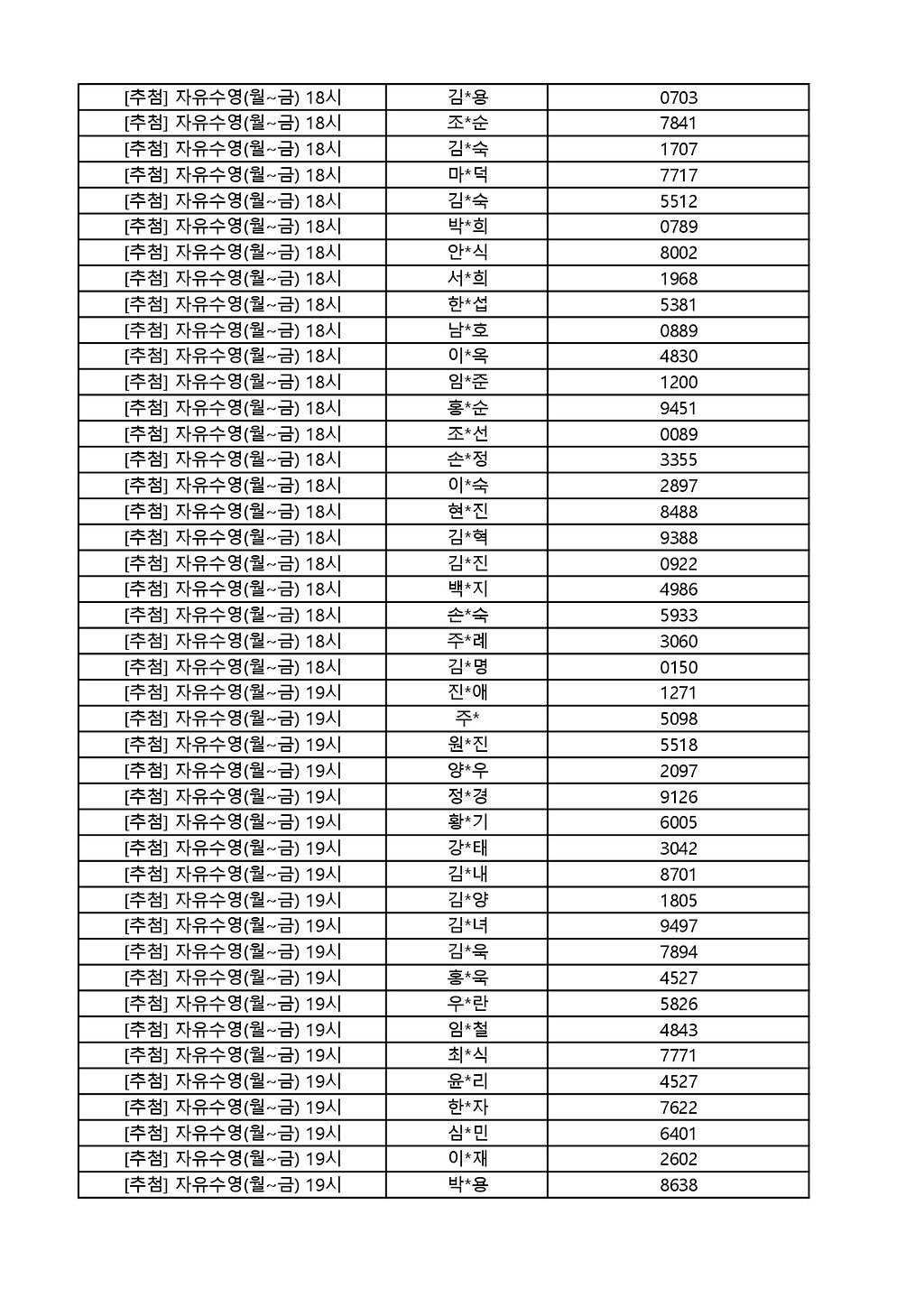
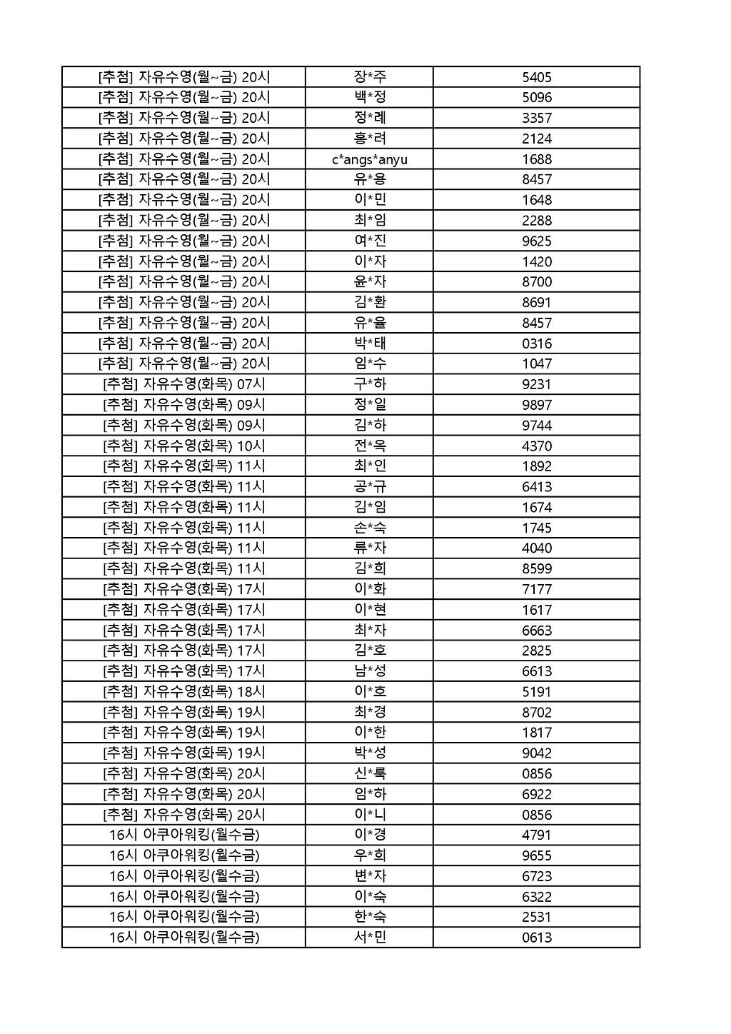
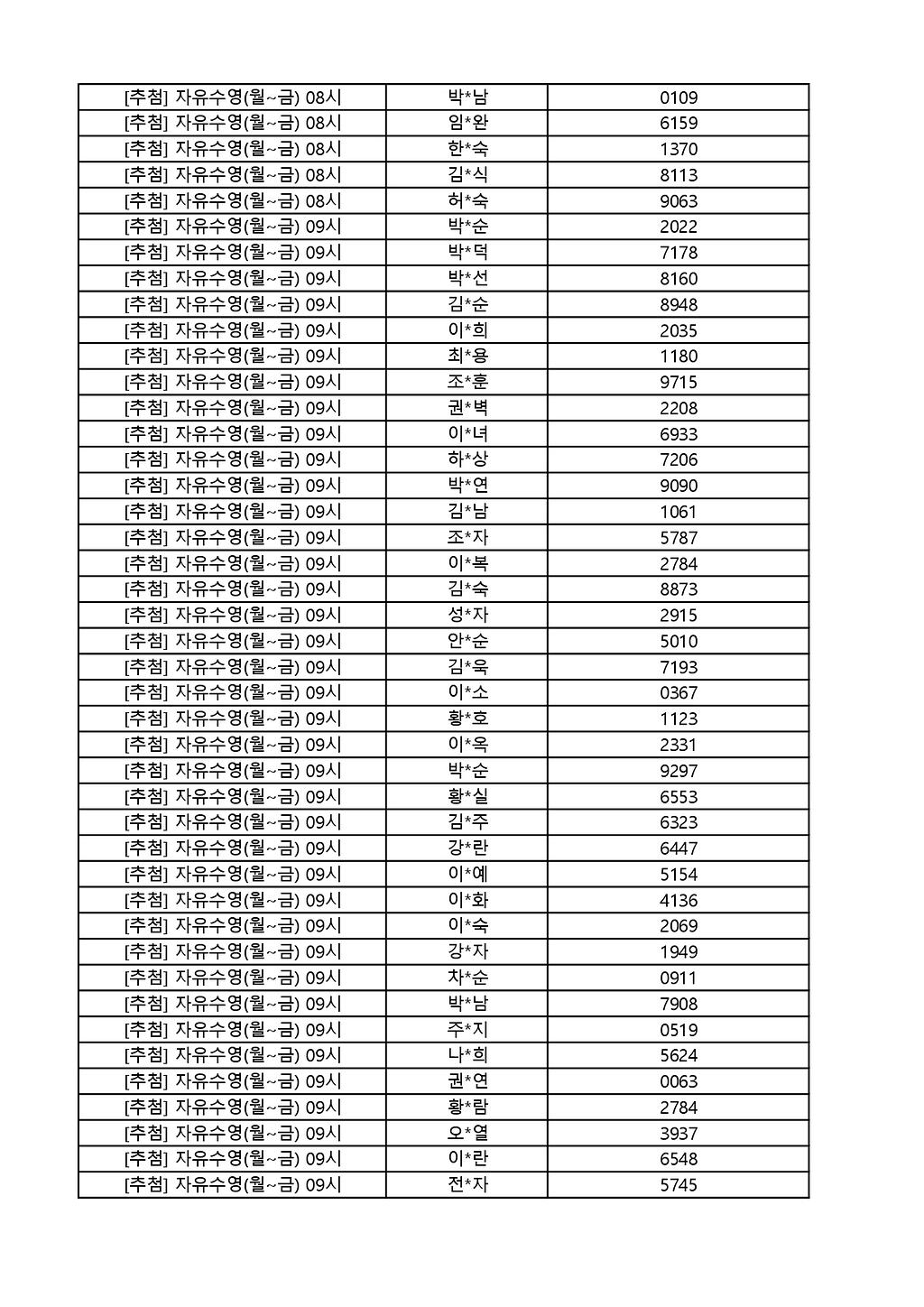
2026년도 4월 추첨 프로그램 당첨자 명단 게시

  • 작성자
    송림체육관(송림체육관)
    작성일
    2026년 3월 23일(월) 10:59:59
  • 조회수
    286



목록

자료관리 담당자

  • 담당부서 : 생활체육사업단
  • 담당팀 : 송림체육관팀
  • 전화 : 032-456-2200

만족도 평가


TOP